Aktuelles:
Unternehmenskennzahlen 2013 - 2023
Unternehmenskennzahlen Stand 31.12.2022
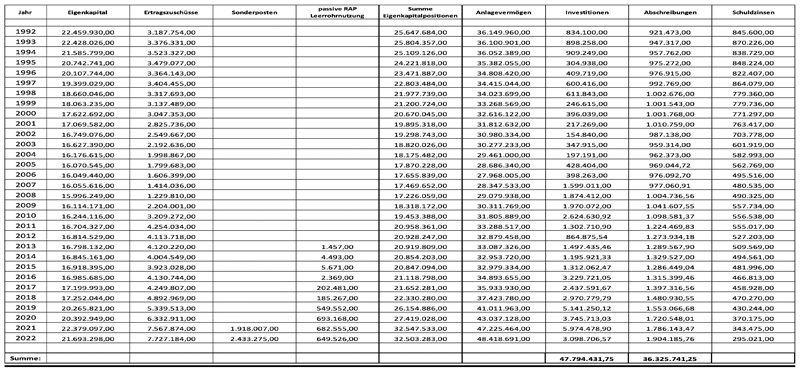
Entwicklung 1992 - 2022
Entwicklungsvergleiche selbst erwirtschaftete Finanzmittelmittel, Anlagevermögen 2013 zu 2022
Kapitalpositionen 2004 – 2022
Betriebswirtschaftliche Effizienz






In den Jahren 2009 bis 2022 wurde das Verbandsgebiet um bestehende Versorgungen erweitert. Hier übernommenes Anlagevermögen wurde nicht zu den Investitionen hinzugezählt.
Von 2003 bis 2008 wurden die Ertragszuschüsse entsprechend § 21 Abs. 3 EBV und BMF-Schreiben direkt vom Anlagevermögen abgesetzt.
Ab 2009 wurden die Zuschüsse der Nutzungsberechtigten wieder den Passivposten „Empfangene Ertragszuschüsse“ zugeführt.
ENTWICKLUNG DES ANLAGEVERMÖGENS
im Vergleich 31.12.2022 zu 31.12.2004
| 2022 | 48.418.691,48 € |
| 2021 | 47.225.463,99 € |
| 2020 | 43.037.128,56 € |
| 2019 | 41.011.963,54 € |
| 2004 | 29.461.000,13 € |
Zunahme des Anlagevermögens in 18 Jahren 18.957.691,35 € unter der Maßgabe, dass im gleichen Zeitraum Reduzierungen durch die Abschreibung in Höhe von 23.628.662,25 € erfolgten.
Im Ergebnis wurden in diesen 18 Jahren 42.586.353,60 € investiert.
In der Gesamtsumme ist dies sogar deutlich mehr als das Anlagevermögen zum 31.12.2004.
ABSCHREIBUNGEN 2005-2022
| Jahre | Abschreibungsbetrag |
| 2005 | 969.044,72 € |
| 2006 | 976.092,70 € |
| 2007 | 977.060,91 € |
| 2008 | 1.004.736,56 € |
| 2009 | 1.041.607,55 € |
| 2010 | 1.098.581,37 € |
| 2011 | 1.224.469,83 € |
| 2012 | 1.273.934,18 € |
| 2013 | 1.289.567,90 € |
| 2014 | 1.329.527,00 € |
| 2015 | 1.286.449,04 € |
| 2016 | 1.315.399,46 € |
| 2017 | 1.397.316,56 € |
| 2018 | 1.480.930,55 € |
| 2019 | 1.553.066,68 € |
| 2020 | 1.720.548,01 € |
| 2021 | 1.786.143,47 € |
| 2022 | 1.904.185,76 € |
| Gesamtsumme | 23.628.662,25 € |
ENTWICKLUNG KAPITALPOSITIONEN
2004 zu 31.12.2021

Die Steigerung der Eigenkapitalpositionen im Zeitraum 2004 - 2022 beläuft sich auf 14.327.409,07 €.
Das ist eine prozentuale Steigerung von ca. 79 %.
In der Verbandsversammlung am 10.10.2006 wurde das Stammkapital mit 10.000.000,00 € festgesetzt.
Dies führte zu einer Verschiebung zu Gunsten der allgemeinen Rücklage und ist im Ergebnis neutral.
UNTERNEHMENSKENNZAHLEN
1. Überträge an den Vermögensplan / Selbsterwirtschaftete Mittel

Die Ermittlung erfolgt auf der Grundlage der vom bayerischen Kommunalen Prüfungsverband erstellten kaufmännischen Abschlüsse. Ab dem Jahr 2013 hat die Juragruppe die doppelte Buchführung (Doppik) eingeführt. Seit diesem Zeitpunkt sind die Jahresrechnungen identisch mit den kaufmännischen Abschlüssen.
2. Investitionen im Zeitraum 2013 – 2022
Die Investitionen im Zeitraum 2013 – 2022 sind anhand der vom Bayerischen Kommunalen Prüfungsverband ermittelten Anlagenzugänge im Rahmen der Bilanzerstellung aufgeführt.
| 2013 | 1.497.435,46 € |
| 2014 | 1.195.921,33 € |
| 2015 | 1.312.062,47 € |
| 2016 | 3.229.721,05 € |
| 2017 | 2.437.591,67 € |
| 2018 | 2.970.779,79 € |
| 2019 | 5.141.250,12 € |
| 2020 | 3.745.713,03 € |
| 2021 | 5.974.478,90 € |
| 2022 | 3.098.706,57 € |
| 2013-2022 Gesamt: | 30.603.660,39 € |
Jährliches Investitionsvolumen im Durchschnitt der letzten 10 Jahre:
3.060.366,04 € p.a.
3. Die Finanzierung dieser in 10 Jahren getätigten Investitionen erfolgte durch:
| erwirtschaftete Eigenmittel in Höhe von | 18.469.200,90 € |
| staatliche Förderung in Höhe von | 7.297.289,40 € |
| Kreditneuaufnahmen netto in Höhe von | 4.322.807,49 € |
Die Eigenmittel in Höhe von 23.863.564,72 € wurden ohne Wassergebührenerhöhung und ohne Einheben von Verbesserungsbeiträgen erwirtschaftet. Dies stellt die hohe Leistungsfähigkeit der Juragruppe sehr eindrucksvoll unter Beweis.
Nachrichtlich: Die Kredite zum 01.01.2013 betrugen 12.243.945,37 € und zum 31.12.2021 weisen diese einen Stand von 16.566.752,86 € aus.
Diese in 10 Jahren getätigten Investitionen, nach Kreditfinanzierung und staatlicher Förderung, in Höhe von 18.469.200,90 €, hätte man über Verbesserungsbeiträge einheben können.
Nach § 5 Abs. 1 der BGS-WAS legt die Juragruppe den durch Beiträge zu deckenden Aufwand nach der Summe der vorhandenen Grundstücksflächen fest. Die Verteilung erfolgt zu 40 % über die Grundstücksflächen und zu 60 % über die Geschossflächen.
Von den 18.469.200,90 € wären demnach 7.387.680,36 € (40 %) über Grundstückflächen einhebbar gewesen. Bei Grundstücksflächen von 11.028.247,38 m² wäre dies für den m² Grundstücksfläche 0,67 € Verbesserungsbeitrag gewesen.
11.081.520,54 € (60%) wären über 4.016.964,17 m² Geschossflächen zu verteilen gewesen. Dies hätte einen Verbesserungsbeitrag für den m² Geschossfläche von 2,76 € bedeutet.
Im Durchschnitt hätte somit jeder Objektbesitzer ca. 2.000,-- € Verbesserungsbeitrag zahlen müssen.
Der Kapitalaufwand bei 3 % Verzinsung beträgt 60,-- € pro Jahr.
Eine im Jahr 2023 angedachte Gebührenerhöhung von 0,30 € für den m³ führt bei einem 3 Personenhaushalt zu einem Mehraufwand von lediglich 36,-- € (120 m³ Verbrauch x 0,30 €).
Im Ergebnis kann angeführt werden, dass unsere Bürger, durch effizientes und nachhaltiges Wirtschaften, äußerst belastungsminimierend und versorgungssicher bedient wurden.
4. Effizienz
Als Ansatzpunkt zur Realisierung weiterer betrieblicher Optimierungspotenziale bieten sich neben den kaum, beziehungsweise nur langfristig zu beeinflussenden Kapitalkosten, erfahrungsgemäß die laufenden Kosten an. Dabei wird zwischen Verwaltungskosten und Technikkosten sowie nach Aufgabengebieten und nach Kostenarten unterschieden.
Unsere laufenden bereinigten Kosten betragen 0,89 €/m³ und liegen damit unter dem Mittelwert der Vergleichsgruppe 1,17 €/m³.
Die laufenden Kosten Verwaltung liegen mit 0,18 €/m³ unter dem Mittelwert der Vergleichsgruppe 0,27 €/m³.
Die laufenden Kosten Technik betragen 0,71 €/m³, der Mittelwert der Vergleichsgruppe liegt bei 0,90 €/m³.
Die laufenden Kosten, die für das Netz der Juragruppe entstehen, liegen aktuell bei 0,39 €/m³, Mittelwert der Vergleichsgruppe: 0,50 €/m³.
Die laufenden Kosten für die Gewinnung betragen bei der Juragruppe 0,26 €/m³, Mittelwert der Vergleichsgruppe 0,32 €/m³.
5. Personal, Nebengeschäft und selbst durchgeführte Investitionsmaßnahmen
Durch unser hoch motiviertes, bestens ausgebildetes Personal konnten wir bis zum 31.12.2022 netto 642.649,25 € im Nebengeschäft für Dienstleistungen, Materialverkauf und Hebedatenermittlung gegenüber unseren Kunden oder Dritten und für selbst durchgeführte Investitionsmaßnahmen 491.055,01 € erwirtschaften. Für die Neuherstellung von Hausanschlüssen wurden durch unser Personal weitere 134.716,04 € netto erwirtschaftet, die über die Einnahmeposition „Ertragszuschüsse“ jährlich aufgelöst werden.
Die Zusammenfassung aller durch das Personal, zusätzlich zur eigentlichen Aufgabe der Netz- und Anlagenbetreuung, erwirtschafteten Einnahmepositionen ergibt zum 31.12.2022 eine Summe von netto 1.268.420,30 €. Zum Vergleich, die gesamten Lohnkosten betragen in 2022 insgesamt 1.346.109,48 €.
Dies ist umso bemerkenswerter, da uns Rödl und Partner im Rahmen der alljährlichen Effizienz- und Qualitätsuntersuchungen beim Personalkostenfaktor und der Beschäftigtenzahl für den Umfang unseres Versorgungsbetriebes niedrigste Werte bescheinigt.
Das Ergebnis und Resümee der Bewertung von Rödl u. Partner im neuesten Untersuchungsbericht 2022 im Bereich Personal:
Im Fokus von Diskussionen über die Wirtschaftlichkeit von Wasserversorgern steht regelmäßig auch deren personelle Ausstattung. Für die Beurteilung der Mitarbeiterkennzahlen ist die Berücksichtigung des Outsourcinggrades ein unverzichtbarer Bestandteil. Sie werden dem Bereich geringer Outsourcinggrad zugeordnet. Die ermittelte Personalkennzahl bezieht sich auf ein sogenanntes Vollzeitäquivalent (VZÄ), also dem quantifizierten Gegenwert einer Mitarbeiterjahresleistung. Typischerweise werden dabei ca. 1.680 tatsächlich geleistete Arbeitsstunden pro Mitarbeiter und Jahr angenommen.
Insgesamt sind bei der Juragruppe 11,06 VZÄ/Mio. m³ bzw. 1,96 VZÄ/1000 HA beschäftigt. Der Mittelwert der Vergleichsgruppe liegt bei 10,30 VZÄ/Mio. m³, bzw. 2,25 VZÄ/1000 HA.
Zur Beurteilung des laufenden Betriebes der Wasserversorgung ist zu beachten, dass im Falle der Juragruppe 4,55 VZÄ/Mio. m³ bzw. 41,11 % der Mitarbeiter Leistungen im Bereich von Nebengeschäftstätigkeiten bzw. aktivierten Eigenleistungen erbringt. In der Vergleichsgruppe liegt der Mittelwert diesbezüglich bei 6,36 %.
Nach Abzug dieser 41,11 % für Nebengeschäftstätigkeiten bei der Juragruppe und 6,36 % des Mittelwertes der Vergleichsgruppe, sind somit für den laufenden Betrieb bei der Juragruppe 6,51 VZÄ/Mio. m³, bzw. 1,157 VZÄ/1000 HA beschäftigt.
Der Mittelwert der Vergleichsgruppe ohne Nebengeschäftstätigkeiten liegt bei 9,64 VZÄ/Mio. m³, bzw. 2,11 VZÄ/1000 HA.
